钜大锂电 | 点击量:0次 | 2018年09月08日
分析低温循环对18650电池的性能影响
锂电池在使用过程中会遇到不同的环境,在冬季中国北部地区温度常常低于0℃甚至-10℃。将电池的充放电温度降低到0℃以下时,锂电池充放电的容量和电压将会急剧降低。这是因为,锂离子在低温下在电解液中、SEI中、石墨颗粒中的迁移率降低了。这样苛刻的低温环境必然会带来高比表面积锂金属的析出。
高比表面积锂析出是锂电池失效机理中一个最为关键的原因,同时也是导致电池安全性的一个重要问题。这是因为其具有特别大的表面积,锂金属本来就特别活跃易燃,高表面积的枝晶锂更是有点湿空气就可以燃烧。
随着电动汽车中电池容量的提高,续航里程的提升以及电动车市场占有率的不断提高,对于电动车的安全性则要求越来越严格。在低温环境下,动力电池性能会有哪些变化?其安全性方面有哪些值得注意的?
1.18650低温循环实验及电池拆解分析
将18650电池(2.2A,NCM523/石墨体系)在一定的充放电机制下进行0℃下低温仿真循环。充放电机制是:CC-CV充电,充电倍率为1C,充电截止电压为4.2V,充电截止电流为0.05C,之后CC放电到2.75V。由于一般将电池SOH为70%-80%时定义为一个电池的终止状态(EOL)。故本实验选择电池SOH为70%时电池终止使用。在以上条件下电池的循环曲线如图1(a)所示,通过对循环后电池及未循环的电池的极片和隔膜进行LiMASNMR分析,化学位移结果见图1(b)。

图1.电池循环曲线及LiMASNMR分析
低温循环前面几个循环容量出现上升,随后出现稳步的下降,循环次数不足50次SOH就降到了70%以下。拆解试验后电池发现,负极极片表面有一层银灰色物质,猜测为锂金属在循环后的负极材料表面沉积了。通过对两个实验对比组电池进行LiMASNMR分析,结果如图b也进一步进行了确认。
在0ppm时有一个较宽的峰,说明此时锂存在于SEI中,循环后电池在255ppm时出现了第二个峰,可能就是锂金属析出于负极材料表面形成的。为了进一步确认,是否真的出现了锂枝晶,对其进行了SEM形态观察,结果如图2所示。

图2.SEM分析结果
通过比较a图和b图,可以看到b图中有一层厚厚的物质形成,但是这层物质还没有把石墨颗粒完全遮盖起来。将SEM倍率进一步放大,观察D图看到了稠密的薄片状物质间有针状的物质,这个物质可能就是高比表面积锂(也就是常说的枝晶锂)。此外,锂金属沉积层是朝着隔膜的方向成长的,其厚度可以通过与石墨层厚度比较来观察到。
沉积锂的形态是什么样取决于很多因素。例如表面的无序度、电流密度、充电状态、温度、电解液添加剂、电解液组成、外加电压等等。其中,低温条件下的循环和高的电流密度是最容易形成稠密的高比表面积锂金属的。
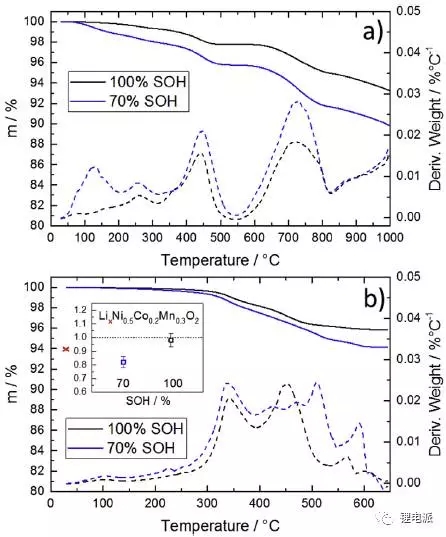
2.电池极片热稳定性分析
研究者利用TGA对未循环的电池极片和循环后电池极片进行分析,如图3所示。

图3.负极和正极极片TGA分析(a.负极b.正极)
由上图可以看出,未使用的电极出现三个重要的峰分别在T≈260℃、450℃和725℃,说明在这几个位置处出现了剧烈的分解、蒸发或升华反应。而使用后的电极,在33℃和200℃处出现了明显的质量损失。低温下的分解反应是由SEI膜分解引起的,当然也跟电解质成分等因素有关系。高比表面积锂金属的析出导致大量的SEI膜在锂金属表面形成也是电池在低温循环下大量质量损失的一个原因。
SEM并不能看出循环实验后正极材料在形态上有什么变化,TGA分析可以得知在400℃以上时有较高的质量损失。这个质量损失可能是由正极材料中锂的减少导致的。如图3(b)所示,随着电池老化,NCM正极中Li的含量是逐渐减少的。SOH100%的正极极片损失4.2%,SOH70%的正极极片质量损失为5.9%。总之,在经过低温循环后无论正极极片还是负极极片,其质量损失率都增加了。
3.电解液电化学老化分析
低温环境对电池电解液的影响是通过GC/MS分析的。分别从未老化电池和老化后电池中取出电解液样品,GC/MS分析结果如图4所示。

图4.GC/MS和FID-MS测试结果
未低温循环电池的电解液包含DMC、EC、PC,此外还有FEC、PS、SN作为外加剂以提高电池性能。在未循环电池和循环后电池中,DMC、EC、PC的量是一致不变的,循环后电解液中添加剂SN(抑制高电压下正极电解液氧化分解)有所降低,因此在低温循环下正极局部过充是其原因。BS和FEC是SEI成膜添加剂,促进形成稳定的SEI膜,此外FEC还可以提高电池循环稳定性和库伦效率。PS可以增强负极SEI热稳定性。图中可以看出,PS的量并没有随着电池老化而减少。FEC量有急剧的减少,SOH为70%时甚至看不到FEC了。FEC的消失是因为不断重建SEI造成的,而反复重建SEI又是Li不断析出在负极石墨表面引起的。
电池循环后电解液的主要产物是DMDOHC,其合成是与SEI的形成相一致的。因此图4a中大量的DMDOHC意味着大面积SEI的形成。
4.未低温循环电池的热稳定性解析
在准绝热条件呵和HWS模式下,对未低温循环的电池和低温循环的电池进行ARC(加速量热计)测试,从ARC-HWS结果来看,放热反应是由电池内部引起的,而跟外部环境温度无关,电池内部的反应可以分为三个阶段,如表1所示。

在隔膜热化过程和电池爆炸过程中,会出现部分吸热,但是隔膜热化吸热对于整个SHR来说是非常低的,可以忽略。初始的放热反应来自SEI的分解,随后热感应诱导锂离子脱嵌,电子则到达石墨表面,然后电子减少SEI膜重新建立。热稳定测试结果如图5所示。


图5.ARC-HWS结果(a)0%SOC;(b)50%SOC;(c)100%SOC;虚线为放热反应初始温度,热失控起始温度和热失控温度

图6.ARC-HWS结果解释a.热失控温度,b.CID启动,c.热失控初始温度d.放热反应初始温度
未低温循环的电池初始放热反应(OER)开始于90℃附近,成直线增长至125℃,并伴随着SOC的降低,说明OER极度依赖于负极中锂离子的状态。对放电过程电池来说,分解反应中最高的SHR(自加热速率)是在160℃左右产生的,在高温下SHR会降低,因此确定了插层锂离子的消耗在负极。
只要负极有足够的锂离子,就能保证被破坏的SEI能被重建。正极材料热分解会释放出氧气,跟电解液发生氧化反应,最终导致电池热失控的行为。在高SOC下,正极材料处于高脱锂态,此时的正极材料结构也是最不稳定的。随之发生的是电池的热稳定性就下降了,氧气释放量增多,在高温下正极与电解液之间的反应占据主导地位。
5.产气过程中的能量释放
通过对循环后电池进行分析,可以看到在32℃附近SHR开始呈直线增长。在产气过程中伴随着能量的释放,主要是由分解反应引起的,起初一般被人任务是电解液的热分解。
高比表面积锂金属在负极材料表面析出,可以通过以下方程式表述。

在公示中Cp为比热容,△T代表在ARC测试中分解反应导致的电池自加热温升总和。
在ARC实验中30-120℃间的未循环电池比热容被测试。放热反应发生在125℃,且电池处于放电状态,没有其他放热反应对其进行干扰。在此实验中,CP与温度呈线性关系,如下方程。

在整个反应中能量释放的总量可以通过对比热容积分得到,每个电池在低温下的老化可以释放出3.3Kj的热量。在热失控过程中的释放的能量无法算出。
6.针刺实验
为了确认电池老化对电池短路实验的影响,进行了针刺实验。实验结果如下图所示:

针刺结果,a是针刺过程中电池表面温度,b是最大能够达到的温度
由图可知对放电完成后的老化后电池和新的电池(SOC0%)进行针刺实验,两者只有10℃-20℃的微小区别。对于老化后电池,在绝热条件下,其绝对温度达到T≈35℃,这与SHR≈0.04K/min是相符合的。
未老化的电池SOC为50%时在30s后达到了最大的温度120℃,释放的焦耳热不足以达到这样的温度,SHR超过了热扩散的数量。在SOC为50%时,老化后电池对热失控具有一定的延迟作用,当针刺入电池时温度急剧升高至135℃。在135℃以上时,SHR增加引发了电池的热失控,电池表面温度升高至400℃。
对充满电的新电池进行针刺实验则出现了不一样的现象,一些电池直接热失控了,一些电池表面温度保持低于125℃,没有发生热失控。其中一块直接热失控的电池在针刺入电池后,表面温度达到了700℃,导致铝箔融化,此后几秒极柱被融化与电池脱离,然后点燃喷出的气体,最后导致整个壳体通红。两组不同现象可以假设为隔膜在135℃出现融化,温度高于135℃时,隔膜融化和内短路则出现,产生更多的热量最终导致热失控。为了验证这个事情,将未热失控的电池进行拆解,并对隔膜进行AFM检测。结果显示隔膜两侧均出现了隔膜融化的最初状态,然而在负极一侧仍出现了多孔的结构,而在正极一侧并没有发现。
7.总结
18650电池在低温下进行循环,容易出现高比表面积的锂金属析出,锂金属的形态与电流密度、电压等因素有关。同时对未循环的电池和低温循环后的电池进行稳定性、针刺实验等研究,可以得出电解液在其中起着异常重要的作用。低温下循环电池内部电解液会产生其它的分解反应,因此低温循环后电池更加不稳定,热和机械滥用都将将提高其安全风险。
为了加强电池的安全性,需要减少电解液和电极之间的反应,电极与电解液的接触界面将是一个重要的研究内容。
上一篇:最近动力电池市场的格局变化分析










