钜大锂电 | 点击量:0次 | 2018年08月04日
锂离子电池:三元还是磷酸铁锂
似乎这是一场已经分出结果的战争,尤其是国家补贴新政对电池能量密度提出要求之后,在小型乘用车领域,三元锂电池已经全面取代磷酸铁锂电池。但这是否能够证明三元锂电池比磷酸铁锂电池更加优秀,代表了未来电池的发展方向?
先来了解锂电池
我们现在使用的锂电池都是锂离子电池,此外还有锂金属电池,以锂金属或锂合金作为负极材料的一种电池,最早在1912年便由GilbertN.Lewis提出,当时的锂金属电池为一次电池(不可充电),由于相比当时的其他电池,锂金属电池对加工、保存的要求高,因而没有成为主流。
而锂离子电池则比锂金属电池年轻许多,它采用锂的金属氧化物作为正极,于20世纪70年代诞生,但直到90年代,随着电子产品的快速发展,对高功率、高能量密度电池的需求增大,锂离子电池才开始成为主流。并且,锂金属电池随着技术发展,近来有开始复兴的趋势,但还未形成潮流,本文主要讨论的对象三元锂电池和磷酸铁锂电池均为锂离子电池,除此之外,算上钛酸锂电池,这三种电池是主流的车用动力电池。
锂离子电池的结构
锂离子电池的主要结构包括正、负极、电解液、隔膜和其他一些附件。其中正极材料是研究的重点,三元锂和磷酸铁锂均描述了锂离子电池的正极材料。而当前应用的负极材料主要为石墨,结晶度高,导电性好,对锂离子的容量大,达到了372mAh/g,大大超过了正极材料的容量,这也是为什么现在主要研究正极材料的原因。
锂电池的电解液与传统电池(铅酸电池、镍镉电池等)不同,不采用以水为溶剂的电解液,因为水的了理论分解电压只有1.23V(想想上一期的燃料电池单电池理想电压),因此,以水为电解液的电池电压最高不过2V左右。而锂电池的电压在3-4V左右。常用的电解质材料为无机阴离子锂盐,LiBF4、LiPF6、LiAsF6这三类。溶剂则有酯类、醚类和飒类。
隔膜则是起隔断电子和透过离子作用,使电子必须从外电路迁移,而离子则可以通过电解液移动,保证外电路有电流通过,防止电池内短路。隔膜材料有单层PE、单层PP、三层PP等。
锂离子电池充放电的基本原理

先明确两个概念,一,电池是将氧化还原反应的化学能转化为电能的装置。典型特征就是电极上反应物得失电子,通过外电路流动,进而便产生了电流。正负极之间的电荷传递是通过电解液中阴阳离子的运动形成的。
二,二次电池是指可多次再充放电的电池,其内部发生的电化学反应是可逆的。电池放电,内部的A物质变成B物质,化学能变成电能;而充电时,B物质又能够变回A物质,电能变成化学能储存。
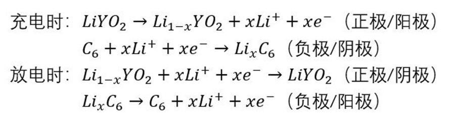
充电时锂离子从正极材料的晶格中脱出经过电解质嵌入到负极材料层中;放电时锂离子从负极材料晶格中脱出,经过电解质嵌入到正极材料中。而电子则通过外电路,形成电流。
锂电池充放电反应过程为:

式中,Y为过度金属,在钴酸锂电池(LiCoO2)中Y为钴(Co),在锰酸锂电池中就是锰(Mn)。对于三元锂电池就是镍钴锰酸锂[Li(NiCoMn)O2]中的NiCoMn,对于磷酸铁锂(LiFePO4)电池,就是FePO4。
另外,正极负极指电位高低,阴极阳极则通过得失电子区分,得电子的电机发生还原反应是阴极,失电子发生氧化反应是阳极。充电和放电正负极不变,而阴阳极会反向。
对于锂离子电池而言,正极材料的开发是其关键技术。理论上,根据上述反应化学式,可以实现锂离子脱嵌的物质都可以作为正极材料,但实际上,这并非易事。出于性能考虑,它需要有良好的导电性、较大的放电倍率以及与电解质良好的相容性;出于寿命考虑,它需要有高度的可逆性和较弱的极化效应,出于安全考虑,它需要保证良好的稳定性和温和的电极过程动力学。
磷酸铁锂和三元锂电池
磷酸铁锂电池的特点在于安全性高,高倍率充放电特性和较长的循环寿命。文献显示,在充电条件为1C倍率充电至3.65V,然后转恒压至电流下降到0.02C,之后以1C倍率放电至截止电压2.0V,循环1600次之后电池容量仍有初始容量的80%。

PS:充放电倍率=充放电电流/额定容量;例如:额定容量为100Ah的电池用20A放电时,其放电倍率为0.2C。电池放电C率,1C,2C,0.2C是电池放电速率:表示放电快慢的一种量度。所用的容量1小时放电完毕,称为1C放电;5小时放电完毕,则称为1/5=0.2C放电。一般可以通过不同的放电电流来检测电池的容量。对于24AH电池来说,2C放电电流为48A,0.5C放电电流为12A。

20Ah磷酸铁锂电池的循环性能
其充放电特性也较为稳定,以0.5C、1C、3C不同倍率放电时,放电容量下降不到5%,电压在放电过程中有着较大的稳定平台,大倍率放电情况下的稳定性关系着电动车在急加速、高速等大功率需求工况下的性能表现,电压越稳定,车辆性能表现也越好,另外,这也可以解释为什么电动车高速行驶时续航能力会减弱,电池在大功率输出时,实际放电容量会缩小。

20Ah磷酸铁锂电池不同倍率放电性能
磷酸铁锂电池也拥有良好的快充特性,3C倍率充电条件下,15分钟可以充电55%,30分钟充个电容量超过95%。注意这是实验室条件,另外仅仅只是一块20Ah,3.65V标称电压的单电池,与车用400V左右电压100Ah及以上容量的电池组不能相提并论,两者的充电功率相差百倍以上。

20Ah磷酸铁锂电池3C快充性能
除了寿命长,充放电性能优秀之外,磷酸铁锂电池最大的优点是其安全性,磷酸铁锂的化学性质稳定,高温稳定性好,700-800℃才会开始发生分解,且在面对撞击、针刺、短路等情况时不会释出氧分子,不会产生剧烈的燃烧,安全性能高。

20Ah磷酸铁锂电池不同温度下的放电容量
但是,磷酸铁锂电池的缺点在于其性能受温度影响大,尤其是低温环境下,放电能力和容量均会大幅度降低。此外,磷酸铁锂的能量密度较低,仅算电池的重量能量密度只有120Wh/kg,如果计算整个电堆,包括电池管理系统、散热等零部件的能量密度就更低了。远远不能达到国务院发布的《节能与新能源汽车产业发展规划(2012-2020年)》明确提出“电池模块的能量密度要求是大于150瓦时/公斤”的要求。
三元锂电池指的是含有镍钴锰三种元素的过渡金属嵌锂氧化物符合材料正极的锂电池,可用通式表示为LiMnxNiyCo1-x-yO2(0

三元锂电池超晶格型结构模型
但是三元锂电池的安全性较差。三元锂电池热稳定性较差,250-300℃就会发生分解,遇到电池中可燃的电解液、碳材料后一点就着,产生的热量进一步加剧正极分解,在极短的时间内就会爆燃。车祸中,外力撞击会损坏电池隔膜,进而导致短路,而短路时发出的热量会造成电池热失控,并迅速将温度升至300℃以上,存在自燃风险。因此,对于三元锂电池而言,其电池管理系统、散热系统就至关重要。
为了提高产品的安全性,使用具有较强耐热性的材料,采用泄压阀控制电池内的压力、主动控制电池的电流,并且实时监测电池充电状态,并能够强制切断电流回路提高安全性。这些都是可行的提高三元锂电池安全性的措施。
基于安全性考虑,采用三元锂电池的新能源客车无法进入工信部的新能源车目录,而轿车、货车则不受影响。虽然有着安全顾虑,但因为政策对能量密度的规定,三元锂电池已经呈现取代磷酸铁锂电池趋势,成为乘用车的主流。
2017年工信部公布的8批共296款新能源乘用车中,采用三元锂电池的车型有221款,而采用磷酸铁锂的仅有33款。比亚迪曾是国内磷酸铁锂电池的领跑者,但从2016年起,旗下的新能源车,包括秦、唐等所有PHEV乘用车等都开始匹配三元锂电池,唯有大巴仍然采用磷酸铁锂。其资源也向三元锂电池倾斜,坑梓工厂三元锂电池产能6GWh,磷酸铁锂电池产能8GWh,而新建的青海工厂的三元锂电池产能更是将达到18GWh。
迄今为止,三元和磷酸铁锂电池还未能够分出胜负,三元锂电池略占上风,但两者至少在现阶段都不是完美的解决方案,石墨烯或者燃料电池等其他替代能源技术都在一旁虎视眈眈。
上一篇:固态电池的发展趋势
下一篇:国内企业欠缺掌握锂电池的核心技术










