钜大锂电 | 点击量:0次 | 2018年07月25日
钾离子电池价值为何被低估?
锂电池发展到现在似乎遇到了一个“瓶颈期”,能量密度提升缓慢,成本下降并不迅速,而且在快充、适应温度范围、更大规模部署应用(电动汽车、储能)以及资源丰度方面都已经遇到了挑战。因此人们一直在寻找一种新的二次电池技术弥补锂电的不足,钠以及电荷数大的镁、锌、铝金属子都是目前重要的研究方向。
为获得最高的能量密度,位于元素周期表左上方的金属锂成为了当今二次电池的第一选择,其极负的标准电极电位(-3.04V)意味着其与正极组成全电池后,电池具有高的电压输出;而锂金属是最轻的金属,这又意味着具有较高的克比容量。能量=比容量×电压,因此锂相关电池技术能量密度在现行电池中几乎是最高的。此外,锂离子电池还拥有体积小的优点。因此其在90年代的产业化后迅速推进了智能手机、相机、笔记本电脑和电动汽车等诸多领域的革命性发展。
然而,锂电池发展到现在似乎遇到了一个“瓶颈期”,能量密度提升缓慢,成本下降并不迅速,而且在快充、适应温度范围、更大规模部署应用(电动汽车、储能)以及资源丰度方面都已经遇到了挑战。因此人们一直在寻找一种新的二次电池技术弥补锂电的不足,钠以及电荷数大的镁、锌、铝金属子都是目前重要的研究方向。

然而,高价态镁、锌、铝离子二次电池研究具有很高的难度,其高价态和比锂还小的半径使其与阴离子紧密吸附从而在晶体结构中很难自由的嵌入和脱出,且其在电解液中强烈的溶剂化效应使其在嵌入离子通道过程中也很难去溶剂化,因此其发展非常缓慢。钠元素储量几乎是锂储量的1000倍、性质与锂接近使其研发可以借鉴锂离子电池的工艺和材料体系,在所有电池体系中最被寄予厚望,国内外在工程中试开发方面已经取得了一些进展,被很多人认为尤其在固定储能领域可能提供有力的解决方案(能量密度略低于锂电)。

钠、钾离子相对于锂离子丰度更高
然而在钠离子电池受到学术界广泛关注的同时,碱金属兄弟之一——钾元素受到的关注却要少的多。虽然同为第一主族元素性质相似且钠钾具有相似的储量,但在钠钾之间,前者似乎更有希望——毕竟钠离子与锂离子半径上更为接近(钾离子半径和质量都更大),很多材料体系更有希望直接参考锂离子电池的研发成果,如果低成本的钠离子电池能够产业化,那么具有相近储量,但是在材料结构相同的前提下能量密度会更低的钾离子电池就变的几乎没有必要(但是实际上这个前提并不一定成立,后面会解释)。但近期对于钠离子和钾离子电池的试验结果显示,钾离子的这一劣势有可能被其一些独特优势得以弥补。

(1)氧化还原电位。同为第一主族元素,三者的电极电位并不符合我们一般的常识推断,不是从上至下越来越负(即容易失去电子)。锂-3.04V;钠-2.71V;钾-2.93V。因为电池的电压等于正负极的电势差,因此由负极电位不那么“负”的钠材料构成的钠离子电池往往电压偏低,而锂和钾的电位更相似,因此钾离子电池有望与锂离子电池一样,在高电压这一方面确立优势。
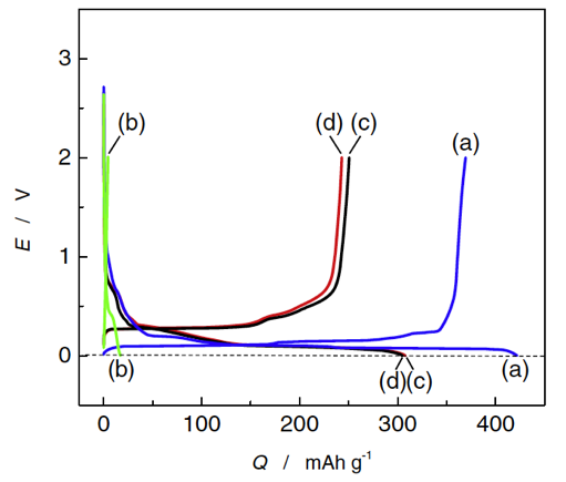
(2)石墨负极嵌入。石墨作为锂离子电池的主要负极材料,它理所应当的被照搬到钠离子和钾离子电池负极,但试验结果却发现钠离子不能嵌入石墨层状结构中,目前钠离子电池使用的负极材料,硬碳是一个主要的发展方向,但其性能并不能让人十分满意,且价格高于石墨。而出人意料的是半径更大的钾离子却可以嵌入石墨,并提供大约250mAh/g的比容量[1,2]。这一方面又是锂和钾更为相似。

硬碳的钠离子电池,与锂电的石墨负极不同

碱金属离子在石墨中的充放电曲线:(a)锂离子,铜集流体;(b)钠离子,铝集流体;(c)钾离子,铜集流体;(d)钾离子,铝集流体。
(3)碱金属负极及枝晶问题。碱金属一直被期望能够直接应用为电池负极,因为它不需要任何的非活性“宿主”从而带来极大的能量密度(比如锂离子电池的石墨负极,大家天天念叨着能不能让其完全金属锂化,然而并不容易),但在充电过程中在固态金属表面的不规则沉积造成的枝晶和枝晶所带来的短路等安全隐患使得碱金属都不能直接应用于电池中,锂金属负极一直对于学术界和工业界都是一个很有挑战的问题,并非一朝一夕可以轻松解决。
有趣的是对于钾离子电池,这个问题完全可以以另一种思路解决:钠和钾的混合物在室温下变成液体,但锂和钠钾都不能形成合金。如果使用钠钾合金做负极,其在室温下为液态,而液体负极就完全没有枝晶形成的问题,充电过程中沉积的金属都会变为液态。而且钠钾合金与有机电解液的不混溶性又使得该液态金属负极并不需要固态电解质,从而使以合金为负极的电池可以在室温下运行。但由于钠钾电位的“相对差异”(钾电位更负,相对更容易失去电子),钠钾合金中具有活性的是金属钾[3],钠金属并不参与电池的反应,但钠起到了把钾金属液态化的作用,钠钾合金作为钾负极具有579mAh/g比容量。这又给了钾离子电池一个机会。

钾钠合金负极示意图,及其与Na2MnFe(CN)6构成全电池时的充放电曲线变化,电位变化趋势显示钾钠合金是钾负极,而且Na2MnFe(CN)6逐渐变为K2MnFe(CN)6且容量并不衰减。
(4)正极材料。现今主流的锂离子电池正极结构(比如层状氧化物材料)照搬到钠离子和钾离子都没有取得理想的效果,磷酸铁锂、三元锂、锰酸锂都没有找到在钠离子电池体系中性能良好的对应物。

钠离子的大尺寸导致磷酸铁钠与磷酸铁锂材料结构不同
而在钠离子电池中,普鲁士蓝Na2MnFe(CN)6是目前性能最好的正极材料之一,其理论容量为170mAh/g,放电平台为3.4V,并具有很好的充放电倍率性能。当此正极和液态K-Na合金负极匹配进行电池研究时,却发现Na2MnFe(CN)6会逐渐变为K2MnFe(CN)6,并带来电位的上升,这也就意味着K2MnFe(CN)6可以作为一个钾正极使用,与K-Na合金或石墨组合成钾离子电池。与Na2MnFe(CN)6钠正极相比,其理论容量下降为156mAh/g,但其放电平台上升为3.8V左右。因此,K2MnFe(CN)6(593Wh/kg)反而比Na2MnFe(CN)6(578Wh/kg)具有稍高的能量密度[4]。而这个钾正极的能量密度甚至可以与一些主流的锂离子电池正极不相上下,比如LiCoO2(4V,140mAh/g),LiFePO4(3.4V,170mAh/g)。

小结
以上关于钾离子负极和正极的发现很多都是在研究钠离子电池时的偶然获得。由于先天的不足,钾离子电池的研究一直被忽视。但实际在电池材料以及全电池中,碱金属离子所占质量和体积比重只有4-10%(比如LiFePO4正极材料分子量为157.76,锂原子量为6.94,只占4.4%),钾离子的劣势完全有可能借助于“宿主”材料、较高的电位平台以及全电池完全不同的设计特性得以弥补。
过去两年,对于钾离子电池的研究有了迅速的增长,其在未来的应用前景值得关注,尤其可能应用于对电池质量和体积不甚敏感但对成本要求更高的大型储能领域。我们也希望社会各界可以更多的关注钾离子电池这一具有研究价值和应用潜力的重要方向,为电池行业的发展提供助力。
上一篇:新锂电池或使手机续航延时两倍
下一篇:如何更好促进动力电池的发展










