钜大锂电 | 点击量:0次 | 2019年01月10日
哪种散热方式更适合圆柱形电池

锂离子电池对于温度十分敏感,在较高的温度下锂离子电池阻抗降低,性能上升,但是高温也会加剧锂离子电池的衰降速度,而在较低的温度下,锂离子电池内阻上升,电池性能下降,在极低温度下甚至会导致负极析Li,严重的影响锂离子电池的使用安全。为了保证锂离子电池良好的性能,以及优异的循环寿命,需要将锂离子电池的工作温度控制在一定的温度范围之内,因此温度管理系统应运而生,然而不同散热结构的散热效果千差万别,例如对于软包电池而言极耳散热的效果要明显好于电池表面散热,极耳散热能够在电池内部产生更小的温度梯度从而减少电流分布不均的现象,减缓电池的衰降速度。

对于圆柱形锂离子电池而言,由于电池表面的面积比较大,极柱面积比较小,因此我们通常通过表面散热的方式为其降温,但是在直径方向上由于电极/隔膜/电极/隔膜的层状结构特点使得锂离子电池在该方向上的热阻较大,因此表面散热往往会导致更大的温度梯度,从而影响电池内部的电流分布,加速电池可逆容量的衰降速度。近日,德国斯图加特大学的ChristophBolsinger(第一作者,通讯作者)与KaiPeterBirke对比了极柱散热和表面散热对于圆柱形锂离子电池内部温度梯度的影响,研究发现极柱散热能够有效的降低在直径方向上的温度梯度,且不会显著的增加电池高度方向上的温度梯度,从而达到改善锂离子电池的循环寿命的目的。
ChristophBolsinger以A123的ANR26650M1B电池作为研究对象,并在电池内部中心的上部、中部和底部分别植入了三个热电偶,用于研究电池在表面散热和极柱散热方式下,内部与外表面之间的温度梯度,以及在轴向方向上的温度梯度。26650电池正极材料为LFP,负极材料为石墨,电池结构如下图所示,负极采用12um的铜箔,正极采用22um的Al箔,隔膜厚度为20um,电池外壳的厚度为0.3mm。


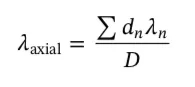
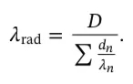
上表总结了电芯中各组成部分的热导率、热容、密度和厚度信息,在轴向上电芯各个部分导热方式为并联结构,因此电芯的热导率可以通过下式1计算得到,但是在直径方向上电芯不同组分之间导热呈现出串联结构,因此在直径方向的热导率可以通过公式2计算得到,根据下面的两个公式结算发现,电芯在轴向方向上的热导率高到39.49W/mK,但是在直径方向上的热导率仅为1.18W/mK,同时考虑在直径方向上不同层之间的接触热阻,因此在直径方向上的实际热导率仅为0.15W/mK左右,因此电芯在轴向方向上导热能力要比在直径方向上的导热能力高263倍,这也是表面散热方式容易在电池内部产生温度梯度的原因。


下图为该电池在20A电流下的放电时电池外壳温度的分布情况,可以看到由于正极与壳体之间是直接联系的,因此正极与外壳之间的温度非常接近,但是负极极柱与外壳之间通过塑料密封件绝缘,因此负极极柱要比外壳温度高一些。

为了测试表面散热和极柱散热两种方式的散热效果之间的差距,作者对于26650电池进行了改造,首先在正极一侧中央位置打了一个直径1mm的微孔,然后放入三根热电偶,分别测量电池底部、中部和上部的温度,然后将微孔密封。
两种散热方式的结构设计如下图所示,极柱散热方式是通过在正极盖和负极极柱上分别放置一个直径12mm的圆柱形Al块,将电池在放电过程中产生的热量传导出去。表面散热是通过特殊设计的管道结构让空气流过电池表面,将电池产生的热量从电池表面带走。


为了验证两种散热方式的效率,作者采用脉冲(40A放电3s,10A充电12s)的方式在电池内产生热量,下图分别展示表面散热方式和极柱散热方式电池核心和表面的温度变化曲线,通过对比可以发现即便是在产热功率和散热功率相近的情况下,采用极柱散热的电池的内外温差都要小于采用表面散热的电池。

下图为两种散热方式下电池在直径方向上的温度梯度,从图中能够看到表面散热方式会导致电池内部产生更大的温度梯度,特别是在电池中间的位置,核心温度与表面温度之间的差距能够达到6℃,在靠近负极极柱的位置内外温差也达到了4.56℃,在靠近正极盖的位置内外温差最小,仅为3.25℃,这主要是因为正极盖直接与正极极耳和电池外壳相联,因此提高了散热效率。而采用极柱散热方式的电池,在电池上中下位置的内外温差都要小于表面散热的电池。

下图为两种散热方式的电池在高度方向上的内部的温度梯度,从图中可以看到如果采用极柱散热方式会增加正极盖到电池中间的温度梯度,但是负极极柱到电池中间的温度梯度两种散热方式则基本相同。

下图为电池外壳在高度方向上的温度梯度,从下图能够看到如果采用极柱散热方式,正极到电池的温差要高于采用电池表面散热方式的电池,但是负极与电池中间的温差要小于表面散热方式。

总的来看,采用极柱散热的方式能够有效的降低电池在直径方向上的温度梯度,同时仅仅会轻微的增加在电池高度方向上的温度梯度,因此采用极柱散热方式能够在电池内部形成更加均匀的温度分布,从而减少电流分布不均,因此极柱散热方式有助于减缓锂离子电池在循环中的寿命衰降。
上一篇:软包电池将突围










