钜大锂电 | 点击量:0次 | 2019年01月08日
环状碳酸酯助力稳定循环的高电压金属锂电池

近期,美国阿贡国家实验室的KhalilAmine教授(通讯作者)在EnergyStorageMaterials期刊上发表了题为“CyclicCarbonateforHighlyStableCyclingofHighVoltageLithiumMetalBatteries”的研究性论文。研究人员设计与合成了一系列环状碳酸酯,包括EC(ethylenecarbonate),FEC(monofluoroethylenecarbonate),DFEC(trans-difluoroethylenecarbonate),TFPC(4-(trifluoromethyl)-1,3-dioxolan-2-one),NFPEC(4-(2,2,3,3,4,4,5,5,5-nonafluoropentyl)-1,3-dioxolan-2-one),HFEEC(4-((2,2,3,3-tetrafluoropropoxy)methyl)-1,3-dioxolan-2-one)等,并在LiNi0.6Mn0.2Co0.2O2(NMC622)/Li全电池体系中确定了不同环状碳酸酯溶剂对金属锂电池循环稳定性的影响。这些环状碳酸酯溶剂会积极参与到负极界面SEI的形成。环状碳酸酯中氟原子的取代可极大地提高金属锂负极的稳定性,而氟代烷基和烷氧基取代基则是有害的。结果表明,DFEC可作为金属锂负极的新型SEI成膜剂,促进具有相对高的氟化锂含量的保护性SEI的形成。使用DFEC作为电解质溶剂的Li/NMC622电池在400次循环后仍有大于82%的容量保持率,并且平均库伦效率(CE)为99.95%。相反,使用FEC的Li/NMC622电池在400次循环后的循环保持率仅为31%,平均CE为99.73%。这项基础研究为金属锂电池中先进液态电解质的进一步发展提供了重要的设计参考。
01【研究背景】
金属锂电池由于其极高的理论能量密度而成为最富有希望的下一代储能电池体系之一。然而,循环过程中枝晶的生长和较低的库伦效率极大地阻碍了金属锂电池的实用化进程。当金属锂电池以过渡金属氧化物为正极材料时,碳酸酯溶剂是不可或缺的电解液组成部分。寻找稳定的碳酸酯溶剂,使其能够在金属锂负极表面形成稳定的SEI,是实现金属锂电池稳定循环的重要途径。
02【研究亮点】
1.对比了EC,FEC,DFEC,TFPC,NFPEC,HFEEC等环状碳酸酯作为电解液溶剂的性能。证明了环状碳酸酯中氟原子的取代可极大地提高金属锂负极的稳定性,而氟代烷基和烷氧基取代基则是有害的;
2.首次证明DFEC是非常好的SEI成膜剂,且在高电压环境中具有很好地抗氧化性。
03【图文解读】

图1.六种环状碳酸酯溶剂的化学结构

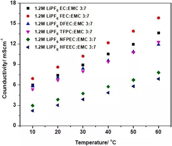
图2.10oC至60oC的温度范围内含不同环状碳酸酯溶剂的电解质的电导率
表1.通过VTF方程拟合的环状碳酸酯基电解质的拟合参数

要点解读——电解液的电化学性质
电导率是任何电解质的最重要特性之一,因为它对电池的倍率性能有显著影响。由图2可见,在研究的温度范围内,基于EC,FEC,DFEC和TFPC的电解质表现出比基于NFPEC和HFEEC的电解质更高的电导率,这可能是由于NFPEC的长氟烷基或HFEEC的烷氧基链所引起的粘度增大。
尽管电导率随温度的变化偏离典型的Arrhenius行为,但可以通过VTF(Vogel-Tamman-Fulcher)经验模型很好地描述。VTF方程对电导率趋势的适用性意味着电导率与电解质粘度之间有着密切的关系。从表1可知,含有FEC的电解质显示出最高的离子传递活化能。而基于DFEC的电解质则最低,这可能是由DFEC的低介电常数和低粘度所引起。

图3.Li/Li对称电池的电压曲线(电流密度为2mAcm?2)
a)1.2MLiPF6inEC/EMC和1.2MLiPF6inDFEC/EMC(3/7);
b)1.2MLiPF6inFEC/EMC和1.2MLiPF6inDFEC/EMC(3/7)。

图4.使用不同电解液的Li/Cu半电池的库伦效率对比(电流密度为1mAcm?2)
要点解读——半电池评测金属锂负极的稳定性
Li/Li对称电池:由图3对称电池的电压曲线图可知,基于DFEC的电解质显示出很好的循环稳定性。而TFPC,NFPEC或HFEEC的添加与纯EMC电解质相比没有任何优势。这意味着用TFPC,NFPEC或HFEEC形成的SEI不能够实现稳定的锂沉积/脱出循环。
Li/Cu半电池:从图4锂铜半电池的评测结果来看,与常规的基于EC的电解质相比,基于FEC和DFEC的电解质具有更好的稳定金属锂负极的能力,且DFEC优于FEC。DFEC将是金属锂电池中非常有前途的SEI成膜剂。而环状碳酸酯上的氟代烷基和烷氧基取代基不仅没有提供超过EC的性能,反而不利于锂的稳定沉积/脱出。

图5.不同电解液的Li/NCM622的全电池循环性能
a)放电比容量;
b)库伦效率。

图6.采用不同环状碳酸酯基电解质的Li/NMC622电池在不同电位下的静态泄漏电流的变化
要点解读——电化学循环性能
Li/NMC622全电池测试。测试方法:经过C/10循环4圈活化之后,以C/3倍率的进行长循环。图5的结果清楚地证明了环状碳酸酯中的氟代烷基和烷氧基取代基对循环性能是不利的。相比之下,采用基于FEC和DFEC的电解质的Li/NMC622电池显示出非常稳定的循环性能,可实现超过400次的稳定循环。并且,不管是长循环稳定性还是平均CE,DFEC均表现出了比FEC更优秀的性能。
不同电位下的静态泄漏电流的变化。如图6所示,采用基于NFPEC和HFEEC的电解质的Li/NMC622电池显示出从4.2V至4.7V的最高漏电流,表明这些电解质在NMC622正极上的高电压稳定性较差。在相对较低的电压(<4.4V)下,基于TFPC的电解质比基于EC的电解质更稳定。然而,当电池电位大于4.5V时,基于TFPC的电解质的泄漏电流急剧增加并且显着高于基于EC的电解质的泄漏电流,说明基于TFPC的电解质不适合高电压应用环境。相反,具有基于FEC和DFEC的电解质的电池显示出比具有基于EC的电解质的电池更低的静态泄漏电流值,这意味着它们具有更高的抗氧化性。并且基于DFEC的电解质的静态泄漏电流最低,抗氧化性最强。

图7.100次循环后金属锂负极的SEM形貌图
a,b)在基于EC的电解质中循环后的的金属锂负极的横截面;
c)在基于DFEC的电解质中循环后的的金属锂负极的横截面;
d)在基于DFEC的电解质中循环后的的金属锂负极的表面俯视图。

图8.金属锂负极的XPS表征
a,c,e)在基于EC的电解质中循环;
b,d,f)在基于DFEC的电解质中循环。

图9.100次循环后电解质的1H-NMR谱
a)1.2MLiPF6inEC/EMC(3/7);
b)1.2MLiPF6inDFEC/EMC(3/7)。
要点解读——表面膜形貌,组成,稳定性
通过SEM、XPS等测试手段对表面膜的形貌、组成和稳定性进行详细地表征。SEM图表明采用DFEC基的电解质其沉积/脱出形貌更加平整致密,副反应少。SEI的厚度小于10μm。XPS的结果则表明在DFEC基的电解质中,金属锂表面会形成富有LiF的紧密的SEI。这将有利于抑制金属锂枝晶的生长,稳定金属锂负极。
由1HNMR可以确定电解液的分解程度。在电池中,EMC会受锂醇盐的亲核攻击而发生酯交换反应,分解产生DMC和DEC。因此,酯交换反应的程度可以反映负极被钝化的程度。在基于DFEC的电解质中几乎没有检测到DEC与DMC的信号,这表明金属锂负极表面的SEI十分稳定,可阻挡电解液的侵蚀。
04【总结与展望】
本研究工作对不同取代基对环状碳酸酯的影响进行了全面的研究。结果表明,具有氟代烷基和烷氧基的环状碳酸酯不仅对金属锂负极有害,在高电池电压下也不稳定。相比之下,基于FEC和DFEC的电解质不仅能够引发保护性SEI的形成,而且还具有很好的氧化稳定性。采用基于FEC和DFEC的电解质的高电压Li/NMC622电池表现出了优异的循环性能与高库伦效率,且DFEC更优。环状碳酸酯DFEC首次被认为是金属锂负极的有效SEI成膜剂,可在金属锂负极上形成致密的高LiF含量的SEI。该研究为环状碳酸盐的设计和选择提供了关键指导。
下一篇:“双极电池”的合作研发










