钜大锂电 | 点击量:0次 | 2018年12月21日
德国大众电池在应用方面的最新成果
动力电池循环使用过程中会逐渐老化,产生气体导致电池膨胀。因此,出于电池安全、可靠性和寿命考虑,动力电池在模组装配时都要进行固定约束。模组装配时如何对电池进行约束、用多大的力约束极具研究价值,因为约束的好坏直接关系到电池的性能和寿命。最近,来自德国大众汽车的MartinWünsch、JorgKaufman和亚琛工业大学的DirkUweSauer研究对比了不同约束条件下NMC622软包电池的循环寿命和电化学阻抗谱,研究成果发表在JournalofEnergyStorage。
研究亮点:
(1)系统研究了四种约束条件下NMC622软包电池的循环和电化学阻抗谱,对实际软包电池模装配约束提供了指导,研究方式和思路值得学习借鉴;
(2)引入了参数归一化最小实部NGM,有利于快速判断约束方式的优劣。

图1.实验所用软包电池
实验所用电池为NMC622软包电池,单电芯容量37Ah,电池外观及尺寸如图1所示。其中正极31层,负极32层;隔膜为双面涂覆Al2O3,单面涂覆3μm,隔膜总厚度16μm。工作电压区间为2.5-4.15V。

图2.四种约束方式:Ⅰ.无约束(Unbraced),可测电池厚度变化;Ⅱ.稳定约束(Braced),配备力传感器;Ⅲ.六变形元素约束(Defoelements),其中暗红色为弹片;Ⅳ.四弹簧恒力约束(Springs)。
表1.电化学阻抗谱EIS和功率峰值PPT(peakpowertests)测试条件

对软包电池的四种约束形式如图2所示。在以上四种不同约束条件下,电池在2.15-4.15V之间进行1C充放电循环,每循环100周在23℃静置3h让电池温度达到平衡,最后再进行4周充放电循环,最后一次循环的放电容量用于判断电池的SoH(StateofHealth)。此外,还进行了电化学阻抗谱EIS和功率峰值PPT(peakpowertests)测试,测试条件如表1所示。

图3.不同约束条件下电池老化行为:(a)SoH;(b)50%SOCPPT电阻;(c)无约束电池循环厚度变化;(d)稳定约束电池循环膨胀力变化。注:文中EoL(EndofLife)定义为电池容量达到初始容量的80%。
如图3a所示,无约束状态电池在循环400周左右SoH陡崖式降至80%以下,稳定约束电池循环1300周达到EoL,六变形元素约束电池循环1600周达到EoL,而四弹簧恒力约束电池需要循环3000周才达到EoL。以上结果直观的表明软包电池的约束形式对其循环寿命影响有显著影响。
如图3b所示,四弹簧恒力约束电池PPT电阻上升趋势最为缓慢,无约束状态电池在循环500周左右PTT电阻陡然上升,稳定约束电池循环100周即可明显观察到PPT电阻上升趋势,六变形元素约束电池循环1000周PPT电阻陡然上升。以上结果与图a相对应。
从图3c可以看出,在无约束条件下,0-400周循环充电和放电过程电池厚度差稳定在200μm,循环400周后电池厚度猛增至约2300μm。
图3d为稳定约束状态下循环充放电过程电池膨胀力变化。不难看出,数周循环后100%SOC膨胀力F约为4.3KN。随着循环进行,F不断增长,且300周后F几乎呈线性增长趋势,充电和放电过程膨胀力差值约为5KN。当循环1300周电池达到EoL时,充电过程膨胀力达到10.78KN。因此在模组装配时,如何有效应对电池的膨胀力至关重要,模组中相关受力材料的选择很关键。

图4.四种不同约束条件下、不同SoH状态电池Niquist电化学阻抗谱图
直观上看,四种约束状态Niquist图中感抗部分均很显著,作者认为该现象同电池的组织结构相关。如图4a所示,无约束电池在100%SoH和73.57%SoH阻抗谱半圆弧部分几乎没有变化,唯一增长的是欧姆电阻,由此表明电池老化的主要原因是电解液的恶化和界面接触变差。图4b和图4c显示稳定约束和六变形元素约束电池的欧姆电阻增长均小于无约束状态电池,但二者的半圆弧显著扩大,表明存在多种老化模式。作者认为以上两种约束形式电池膨胀受阻,电池内部作用力大,颗粒破裂导致欧姆电阻增大。如图4d所示,四弹簧恒力约束状态阻抗谱半圆弧部分扩大最为明显,而欧姆阻抗几乎没有变化,表明老化过程阻抗主要来自双电层电阻。以上结果表明不同于以上三种约束方式,四弹簧恒力约束状态电池有一定的膨胀空间,能一定程度避免颗粒裂纹的出现和隔膜的变形,进而最终得到较好的循环效果。

图5.四种不同约束状态电化学阻抗谱图实部-频率(对数)关系曲线
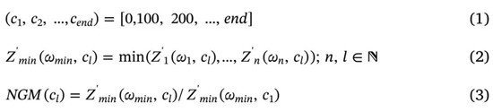
鉴于在中频区半圆弧部分对应的实部变化明显,且约束与否对欧姆接触影响明显,作者以电化学阻抗谱的实部为参数进行分析。从图5a不难看出,无约束电池是快速达到EoL,80%附近的阻抗都未检测到。稳定约束电池在低频区能观察到明显的阻抗“噪音”(图5b)。而从图5c和图5d中可以看到六变形元素约束和四弹簧恒力约束实部呈现均匀增长。从全频率看,实部的最低值出现在f≈102-103Hz范围,且在该频率范围四种约束形式的阻抗谱实部差异显著。作者根据如下公式对实部最小值进行了归一化处理,引入参数NGM(Normalized-Global-MinimumoftheRealPart)。


图6.四种不同约束条件下电池NGM随循环周数变化曲线
四种不同约束条件下电池NGM随循环周数变化曲线如图6所示。不难看出,无论哪种约束形式0-400周循环均呈下降趋势且同SoC无关,表明NGM适合用于评价不同约束形式对电池的影响。从图6a可以看出,在无约束状态下,NGM在300-500周急剧上升,结果与无约束状态PPT电阻变化相一致。图6b显示稳定约束状态NGM有一定“噪音”,但还是能明显看到300周后NGM值稳定上升。在六变形元素约束状态下(图6c),500周后NGM几乎呈线性增长,且在1000周NGM值才达到1。图6d显示在四弹簧恒力约束条件下循环300周NGM降低至0.9,300-1800周NGM一直维持在0.9;1800周后NGM几乎呈线性增长,直到达到EoLNGM值都未达到1。从以上对比不难看出,约束较好的电池NGM减小率较初始值不会超过10%。更为重要的是,相较于SoH和PPT曲线,NGM曲线在300周循环后就能观察出不同约束方式对电池的影响差别。因此,鉴于NGM不受电池SoC和双电层的影响,且能在循环前期就能给出清晰结论,其非常适合用于判断不同约束方式的优劣。
上一篇:分析全固态锂电池商业化的主要挑战










