钜大锂电 | 点击量:0次 | 2018年09月29日
锂离子电池的动力学过程及其数学描述
从电子设备的电源,到新能源电动汽车的动力电源,锂离子电池已经深入到人类日常生活的方方面面。本文将以另一个视角带领大家深入锂离子电池内部,去看看在锂离子电池正常充放电过程中,其内部发生了什么样的物理化学现象,以及如何利用数学方法对这些现象进行描述。
所有的物理化学过程都是以几何结构为载体的,本文首先介绍了锂离子电池的几何结构,然后以此为基础介绍了锂离子电池的动力学过程及其数学描述。
1.锂离子电池的“三明治”结构

图1锂离子电池结构
所有的锂离子电池,包括不同体系(钴酸锂、锰酸锂、镍钴锰三元和磷酸铁锂等)和不同制造工艺(卷绕和碟片等),其内部都是由若干基本的单元组成的,如图1(a)红色方框所示。
该基本单元又可以分为5个区,如图1(b)所示,从左到右依次是:正极集流体、正极极片、隔离膜、负极极片和负极集流体。其中,正、负极集流体一般分别为铝箔和铜箔;正、负极极片是由活性材料、导电材料和粘接剂等混合之后均匀涂在正、负极集流体上形成的一层多孔介质,可以通过电解液;隔离膜为允许锂离子通过但不允许电子通过的多孔介质。
这种基本单元的结构在外形上与三明治极为相似,因此也将该基本单元形容成“三明治”结构。该“三明治”结构,也是锂离子电池所有物理化学过程的载体,接下来将以此为基础对锂离子电池的动力学过程(物理化学过程)进行说明。
2.锂离子电池的动力学过程

图2锂离子电池动力学过程的原理图
当锂离子电池接入回路(接入负载或者外部电源)中时,就会出现一系列的物理化学变化。本节以锂离子放电过程为例,来揭示锂离子电池内部的动力学过程。充电过程与放电过程的原理是一样的,区别只是电荷运动的方向相反。
图2(a)为几种锂离子电池及其使用过程的示意,图2(b)为锂离子电池动力学过程的原理图。为了便于建立模型,活性材料被简化成球形,负极用LixC6表示,正极用LiMOy表示。
如图2(b)所示,当锂离子电池接入负载时,电极(正、负极极片)电压就会越过平衡电压,开路情况下的平衡状态被打破,负极和正极分别发生式(1)和式(2)的化学反应,
LixC6→xe-+xLi++6C式(1)
xe-+xLi++Li1-xMOy→LiMOy式(2)
这两个化学反应是由电流激发的,因此称为电化学反应。电化学反应会使Li+(锂离子)从负极活性颗粒中脱出,并嵌入正极活性颗粒中,这个过程称为电化学过程。
Li+是从活性颗粒表面脱嵌的,因此活性颗粒内部会出现一个Li+的浓度梯度。在这个浓度梯度的驱动下,Li+在活性颗粒中扩散,这个过程称为固相扩散过程。
当Li+从负极活性颗粒中脱出之后,负极极片周围的电解液中Li+浓度升高,当Li+嵌入到正极活性颗粒之后,正极极片周围的电解液中Li+浓度降低,这样在电池内部电解液中存在着浓度梯度,在这个浓度梯度的驱动下Li+从负极扩散到正极,同时Li+会受到电迁移和对流等因素的影响而运动,这个过程称为液相扩散过程。
在集流体和极片上,存在电子的转移以及Li+的产生和吸收,因此集流体和极片上电势会出现变化,这个过程称为固相电势过程。
在电解液中,存在这Li+的扩散、迁移、对流、产生和吸收,因此电解液的电势会出现变化,这个过程称为液相电势过程。
3.动力学过程的数学描述
清楚了锂离子电池的动力学过程之后,需要对其进行数学描述,这样才可能为实际生产提供指导。本节对就上节的5个过程进行数学描述。
(a)电化学过程的数学描述

Li+在活性颗粒表面的脱嵌过程由式(3)来描述。其中,i1oc为电化学反应电流密度,是Li+脱嵌过程中形成的电流,它是描述电化学反应剧烈程度的参数;i0为交换电流密度,是平衡状态Li+脱嵌过程中形成的电流,它与温度、Li+浓度以及化学反应类型等有关,是一个状态参数;η为过电势,是电极电势越过平衡电势的值,它是电化学反应的驱动力。
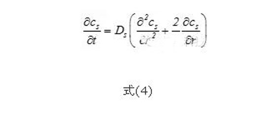
(b)固相扩散过程的数学描述

Li+在活性颗粒内部的扩散过程由式(4)来描述。其中,Cs为活性颗粒中Li+的浓度。该过程由浓度梯度驱动。
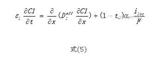
(c)液相扩散过程的数学描述

Li+在电解液中的扩散过程由式(5)来描述。其中,C1为电解液中Li+的浓度。该过程由浓度梯度、电迁移等驱动。
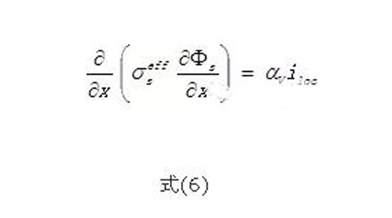
(d)固相电势过程的数学描述

集流体和极片的电势值可以由式(6)来计算。其中,ФS为集流体和极片的电势值。式(6)实际上是欧姆定律的一种变形。
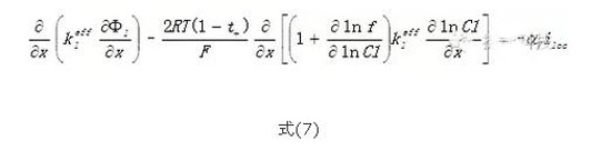
(e)液相电势过程的数学描述

电解液的电势值可以由式(7)来计算。其中,Ф1为电解液的电势值。式(7)实际上也是欧姆定律的一种变形。
附录电化学仿真实例展示
通过数学模型将锂离子电池的充放电过程进行描述之后,可以求解出锂离子电池的参数。图3所示的是通过数值模拟方法获得的电池充放电曲线。

图3电化学仿真得出的锂离子电池充放电曲线










