钜大锂电 | 点击量:0次 | 2018年11月24日
锂离子正负极材料的发展分析
锂离子电池可以说是目前世界上应用最成熟最广泛的新能源,如手机电脑等便携式电子产品,电动汽车,电动工具,储能项目。特别是当前中国政府和资本疯狂投资支持新能源汽车和动力电池产业的发展,简直到了如火如荼的地步。但是放眼未来,锂电产业还有很长的一段路要走,比如高能量密度体系的开发,成本的进一步降低,资源的回收和利用等问题摆在我们面前。
今天给大家介绍下关于锂离子电池材料的现状和未来发展趋势。
我们知道锂电里所有的材料无非来自于自然界,那首先看一下元素周期表哪些元素能为我们所用呢?

图1a为相关各种元素的价格和在地球上的储量
图1b为相关元素的质量比容量和体积比容量
上面只是让大家对正负极材料相关的元素有一个印象,并不能代表化合物本身的性质和可用性,下面大家再看一个更直观和经典的图表。

图2
a.常见的正极材料电位和克容量值(LFSF-氟化铁酸锂铁,LTS-硫化锂钛)
b.转化型正极材料的电位和克容量值
c.常见的负极材料电位和克容量值
d.所有的正负极材料电位和容量的均值

图3
一般情况下增强电池材料性能的策略如上图3所示:
a.减小活性材料的粒径尺寸:带来更快的离子电子传导率/更高的表面活性/改善机械稳定性
b.形成复合材料:引入导电介质/机械支撑机构
c.掺杂和接枝官能团
d.微调粒子的形态
e.表面包覆
f.对电解质的改性
正极材料
这里主要包括LCO,尖晶石LMO,橄榄石LFP等晶体结构。大多数正极材料研究集中在过渡金属氧化物和聚阴离子化合物上,因为它们具有较高的电压和较高的容量(100-200mAh/g和3-5V平均电压)。图4中(e)给出了这些典型的正极材料充放电曲线。

图4
以下列举了具有代表性想正极材料特性以及目前的发展水平:

表1
过渡金属氧化物
1.钴酸锂LCO
LCO正极材料是由Goodenough首次提出,并且由Sony首先将其并成功商业化。优点是高比容量,高电压,低自放电已经良好的循环性能,至今仍广泛应用。主要的缺点是成本高,热稳定性差和高倍率和深循环的容量的快速衰上。
成本高是由于Co元素的价格高,可以在图一中看到Co的价格。
热稳定性差是指高温150℃状态下正极LCO结构被破坏释放出大量的热造成电池热失控起火爆炸。LCO是目前商业化正极材料中热稳定性最差的。
虽然热稳定性也在很大程度上取决于非材料因素,例如电池设计和电池尺寸,但由于释放的氧和有机材料之间的放热反应,LCO通常经历超过200℃的热失控。深循环(脱锂电位4.2V以上,意味着大约50%以上的Li脱出)导致晶格畸变从而恶化循环性能。
对LCO的改性方面:对许多不同金属(Mn,Al,Fe,Cr)作为钴掺杂剂/部分代用品进行过研究,虽然证明有一些效果,但对性能的提升有限。各种金属氧化物的涂层(Al2O3,B2O3,TiO2,ZrO2),因为他们的机械和化学稳定性可以减少LCO的结构变化和与电解质的副反应,增强的LCO稳定性,甚至对深循环性能特性有一定改善。
2.镍酸锂LNO
LNO具有和LiCoO相同的晶体结构和275mAh/g的类似理论比容量,与LCO相比主要在成本上低很多,但是LNO的问题在于Ni2+有替代Li+的倾向,在脱嵌Li的过程中会堵住Li的扩散通道。安全性和稳定性方面LNO比LCO更容易造成热失控。另外改性上可以在高SOC条件下的热稳定性差可通过Mg掺杂来改善,添加少量Al能提高其热稳定性和电化学性能.
3.镍钴铝酸锂NCA
LiNi0.8Co0.15Al0.05O2(NCA)目前已经被商业化应用,例如松下为Tesla开发的动力电池。其优点在于拥有较高的比容量200mAh/g和相对LCO更好的日历寿命。但在国内刚刚处于起步阶段。关于其失效模式在于其在高温下(40-70℃)由于SEI和微裂纹的生长导致容量衰减,当然NCA这种材料从合成到电池生产对产线的环境控制要求极为苛刻,在国内大规模应用还需要时日,我们拭目以待。
4.锰酸锂LMO
LMO由于其稳定性和较低的成本优势也得到了广泛的应用,但是其主要缺点是较差的循环性能,原因是在Li脱出的过程中其层状结构有变为尖晶石结构的趋势和循环过程中Mn的溶解的不利影响。
具体讲是由于Mn3+的歧化反应形成Mn2+和Mn4+,2价Mn离子可以溶解在电解质中破坏负极的SEI,所有含Mn的正极都存在这个反应。伴随着含Mn电极的电池老化,电解质和负极中Mn的含量逐渐增加,石墨负极阻抗变大。但对比LTO负极没有显著的变化(如下图中红色曲线),这是由于LTO负极的电位高于石墨负极。在改性方面一般采用阳离子参杂改善LMO的高温循环稳定性。

图5
5.镍钴锰酸锂NMC
NMC是现今锂离子电池研究的一大热点,与钴酸锂相比,具有以下显著优势:
成本低:由于含钴少,成本仅相当于钴酸锂的1/4且更绿色环保。
安全性好:安全工作温度可达170℃,而钴酸锂仅为130℃
电池的循环使用寿命延长了45%。
另外值得一提的是与NCA类似的高Ni三元材料(LiNi0.8Co0.1Mn0.1O2)有更高的能量/功率密度(能够在高Ni含量下会有更多的Li脱出而保持其结构稳定)。目前应用的常规523和622体系则是加入更多的Mn和Co是为了更好的平衡安全和循环性能。
聚阴离子型化合物
1.磷酸铁锂LFP
LFP拥有良好的热稳定性和功率性能,结构如图4C,其主要缺点是较低的电位和较差的离子导电性。对LFP进行纳米化,碳包覆和金属参杂是提高其性能的方法。如果不用炭包覆有纳米化的LFP,使用性能较好的导电剂混合使用也同样可实现良好的导电性。通常纳米化的LFP电极材料的低压实密度限制了LFP电池的能量密度。
其它橄榄石结构包括LiMnPO4(LMP),比LFP提高了0.4V的平均电压(表1),从而提高了能量密度。
此外还有Li3V2(PO4)3(LVP)有相当高的工作电压(4.0V)和良好的容量(197mAh/g)。LVP/C纳米复合材料在5C的高倍率下也表现出95%的理论容量,低温下也表现出比LFP好的性能。但是LVP没有大规模应用的原因主要在于:1.合成的成本和原材料的毒性对环境和人体的伤害;2.在高压下电解质的匹配问题。
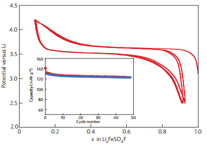
2.LiFeSO4F(LFSF)
另外一种聚阴离子盐材料LFSF,其具有3.6V平台和相对较高的理论比容量(151mAh/g),而且LiFeSO4F具有更好的离子/电子导电性,因此它基本不需要碳涂层或纳米化颗粒。电化学如下图6所示。

图6
转化正极材料
转化电极在锂化/脱锂期间经历固态氧化还原反应,其结晶结构会发生变化,伴随着断裂和重组的化学键。转化电极材料的完全可逆电化学反应通常如下:
A型的正极中式(1)包括含有高价(2价或更高)的金属离子,可以得到具有较高的理论容量的金属卤化物。
B型正极包括S,Se,Te,I.其中S因它的高理论比容量(1675mAh/g),成本低以及在地壳的丰富储量目前已经被大家大量研究。

图7
图b显示出了完整的S转化反应,其涉及可溶于有机电解质中间体多硫化物的中间步骤。
图c给出了转换型正极的典型放电曲线。BIF3和CUF2表现出高电压平台,相比较而言S和Se也显示非常平坦和长电压平台,表示两个固相之间的反应具有良好的动力学特征。
氟和氯化合物
由于偏中等电压平台和较高的理论比容量,金属氟化物(MF)和氯化物(MCI)近来也已经被积极地研究。然而MF和MCL通常有比较大的电压滞后,体积膨胀,副反应,和活性材料的溶解(如下表2)。大多数MF包括FEF3和FEF2,由于其金属卤键的高度离子特性所引起的带隙大而带来的较差的电子传导性,但他们的开放式结构可以保证良好的离子导电性。

表2
硫和硫化锂
硫具有1675mAh/g的理论容量,同时还具有成本和储量丰富的优势。然而缺点是S为主的正极低电势,低电导率,中间体反应产物(多硫化物)在电解质的溶解,和(在纯S的情况下)非常低气化温度真空下干燥电极引发S的损失。加上硫充放电过程中大约80%的体积变化,这可能会破坏碳复合材料和电极的电接触。
为了减轻溶解和体积膨胀的影响,可以将S包覆在具有过量内部空隙空间的中空结构中。使用聚乙烯吡咯烷酮聚合物,碳和TiO2渗透和化学沉淀浸渍硫。
当在薄电极构造的半电池中测试时,这些复合材料显示出有时接近1000个循环的循环寿命。为了避免膨胀,防止干燥过程S蒸发,电极可以制成碳包覆Li2S的形式,这是因为Li2S具有更高的熔点,这种电池在循环400周后依然保持良好的结构稳定性没有变化。
电解液的修饰改性也是改善多硫化物溶解的一个方法。LINO3和P2S5添加剂用于在Li金属的表面形成良好的SEI,以防止还原和多硫化物的沉淀。使用固态电解质是最好的办法,也可以防止多硫化物的溶解,同时也避免了锂枝晶短路,增强电池的安全性。
以上这些比较新的材料肯定还有很长的产业化道路要走,任重而道远。个人看法是目前很多新型材料对现实生产的指导意义不大,但历史的车轮滚滚向前,总有一天会实现甚至超越既定目标。
上一篇:用纸做成的微生物燃料电池电极
下一篇:简析锂离子电池隔膜材料的研究进展










