钜大锂电 | 点击量:0次 | 2018年09月20日
解析电解液在锂离子电池老化过程中分解产物
随着电子技术的不断发展,锂离子电池也逐渐走进了我们的日常生活之中,无论是智能手机,还是平板电脑等都能够见到锂离子电池的身影,一般来说消费级电子产品的更新和换代速度很快,因此锂离子电池的寿命一般设计到500次以上也就基本上满足需求了,但是对于一些需要长期使用的领域,例如电动汽车设计寿命一般要达到十年左右,要满足如此长时间的使用寿命需求,锂离子电池的寿命一般需要设计到1000次以上,甚至是3000次,这就需要我们对锂离子电池老化和衰降过程的机理有深入的认识。
影响锂离子电池寿命的因素很多,例如电极的成分和结构,电解液的选用,以及使用的条件等。
锂离子电池的电解液一般包含,溶剂盐(常见的为LiPF6)和直链碳酸酯,如DMC,EMC和DEC等,以及环状碳酸酯,例如EC和PC等组成,由于锂离子电池的体系的电化学势较高,正极一般超过4V,负极可达0.1V左右,所以电解液在锂离子电池内部面临的双重的考验,既不能被正极氧化,也不能被负极还原,为了改善电解液的电化学稳定性,还需要在其中添加一些添加剂,例如FEC、VC等,在锂离子电池初次充电的过程中,这些添加剂会与与负极发生反应,被还原,从而在负极的表面形成一层保护层,从而阻止溶剂进一步与负极发生反应。
但是电解液在循环过程难以避免发生分解和氧化等,造成一部分活性Li的损失,为了研究在电池老化过程中,电解液的发生的变化,来自德国明斯特大学的XaverMonnighoff等人利用超临界二氧化碳萃取和气相色谱等方法对老化电池中的电解液进行了成分分析,在电解液中发现了17种不稳定的老化产物,其中有7种在以往的文献中从未报道过。
实验中XaverMonnighoff采用了18650电池结构(NMC532/C),分别在20℃和45℃按照1C/1C的制度进行循环测试(2.75V-4.2V),寿命终止EOL定位初始容量的70%,完成测试的电池在手套箱内完成拆解,将取出的电芯,利用超临界二氧化碳萃取设备进行萃取,然后利用气相色谱仪对上述分离的电解液进行了成分分析。
下图是从全新电池中提取的电解液的气相色谱仪分析结果,从其中能够看到电解液常见的溶剂和添加剂的。

电池在20℃和45℃下的循环性能曲线如下图所示,从结果上来看,温度对电池的循环性能有着显著的影响,在45℃下循环的电池具有更好的循环性能,寿命终止时循环次数在1500次左右,而20℃下电池的循环性能很差,仅仅循环300次左右就已经达到了寿命终止,分析认为,导致20℃下电池的循环性能差的原因主要是因为PC溶剂的共嵌入和石墨片层剥落。

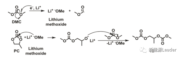
下图是从新电池、20℃和45℃循环电池内获取的电解液的气相色谱分析结果,为了便于分析XaverMonnighoff将分析结果分为三个部分,分别是3-7min,7-10min和10-13min。在区域1中,新电池的电解液检测到了三个峰值,分别对应的是EMC和单氟磷酸盐EMFP(可能是电池在化成和SEI成膜过程中由于VC分解产生),以及VC。在45℃循环电池的电解液中只发现了EMC和EMFP,这说明在成膜过程中已经将VC完全消耗。而在20℃循环的电池中发现了多种分解产物,从图片上能够看到EMC(1号峰),DMFP(2号峰)和EMFP(5号峰),以及其他三种含有丙烯链的产物(3,4和6号峰),分别为甲基异丙基碳酸酯(3号峰MiPrC),碳酸甲丙酯(4号峰MPrC),1,2-二乙氧基丙烷(6号峰),没有检测到VC。

这其中1,2和5号峰所对应的产物的形成机理都已经有过报道,而3,4和6号峰所对应的产物还暂时没有报道,经过分析XaverMonnighoff认为3,4号产物的产生机理如下式所示。6号峰所对应的产物的形成机理可能是PC溶剂的开环反应,

在7-10min钟的范围内,在新电池的电解液中检测到了FEC和氟磷酸二乙酯DEFP(7号峰),在45℃循环的电池能够检测到FEC,但是20℃循环的电池没有检测到FEC,表明所有的FEC都已经被消耗了,并且检测到了另外几种分解产物,其中8号峰对应的为2,2-二甲氧基乙酸甲酯,9号峰为2-甲氧基乙基甲基碳酸酯,10号峰为TMP,这在之前的文章中也都有报道。
在10-13min的范围内,在新电池提取的电解液中检测到了PS和甲氧基-EC(11号峰),甲氧基-EC是在化成过程中VC与甲醇锂LiOMe反应的产物,由于VC对LiOMe的捕获效应,VC能够抑制在化成和循环过程中碳酸烷酯的形成(例如12号峰对应的DMDOHC和15号峰对应的EMDOHC)。在45℃循环的电池能够检测到11号峰和12号峰对应的产物,还有一种无法确定结构的分解产物。而20℃循环的电池,除了检测到11号和12号峰对应的产物外,还检测到了另外6种分解产物,下图是13号峰所对应的分解产物的形成机理,15号峰所对应的产物为EMDOHC,可能是EC与LiOMe或者EMC和DMC的反应产物。对16号峰进行详细分析发现,分解产物的结构中含有两个甲氧基侧链,但是更详尽的结构信息暂时还无法获取。17号峰分析发现,该峰对应的产物含有甲醇盐和丙醇盐侧链,而18号峰对应的产物则含有两个甲醇盐的侧链。

从上述的分析结果来看,在20℃和45℃循环电池的电解液分解产物有很大的不同,在20℃下,由于SEI膜保护不充分,电解液中的许多的线性和环状碳酸酯发生了分解,从而导致电池在20℃下性能快速下降。


上一篇:六种燃料电池的介绍
下一篇:锂离子电池充电爆炸主要的根源










