钜大锂电 | 点击量:0次 | 2018年08月22日
动力电池高性能储钠碳材料
无定型碳负极材料以其相对较低的储钠电位、较高的储钠容量和良好的循环稳定性等优点被认为是最具应用前景的钠离子电池负极材料。已报道的制备无定型碳材料的前驱体主要包括生物质、聚合物、树脂或有机化学品等,但这些前驱体价格高,产碳率低(<50%),极大削弱了其成本效益。沥青作为一种常见的石油工业残渣,其价格非常低廉,并具有较高的产碳率,是制备碳材料的理想前驱体。然而在高温碳化过程中沥青很容易发生石墨化而形成高度有序的碳层结构,不利于钠离子的存储,致使其储钠容量较低,约90mAh/g。
最近,中科院物理所胡勇胜研究员研究团队通过一种简单的预氧化策略成功实现了沥青碳化后结构从有序到无序的转变。与原始沥青碳化相比,该预氧化沥青碳化后性能大幅提升,其产碳率从54%提高到67%,储钠容量从94.0mAh/g增加到300.6mAh/g,初始库仑效率从64.2%提升到88.6%。实验结果表明,在低温预氧化过程中引入氧基官能团是实现碳结构高度无序化的关键。氧的引入诱发沥青结构的相互交联,从而阻止了高温碳化过程中沥青的熔化与有序重排,起到了抑制其石墨化进程的作用;高温过程中释放出的气体小分子如CO,CO2等会进一步改变碳材料的微结构,起到双重调控的作用。此外,预氧化沥青碳化后的电化学行为也发生改变,无序结构的产生使其既具有斜坡容量又具有平台容量,这也是储钠容量增加的原因,对研究储钠机理提供了很好的研究模型。不仅如此,该简单有效的预氧化策略可以推广到其他碳源前驱体,说明了该方法具有一定的普适性。该工作发表在国际顶级期刊AdvancedEnergyMaterials上(影响因子:21.875)。

图1(a)原始沥青碳-1400℃与预氧化沥青碳-1400℃在0.1C(1C=300mA/g)倍率下的首周充放电曲线。(b)预氧化沥青碳-1400℃在0.1C的循环性能与库伦效率图。
在相同高温1400℃下处理的原始沥青碳与预氧化沥青碳(300℃3h)的储钠电化学性能如图1所示。预氧化沥青碳的电压-容量曲线既出现了斜坡区又出现了平台区,容量是原始沥青碳的3倍,300.6mAh/g的容量超过了软碳前驱体制备碳材料的容量,并达到了一般硬碳前驱体衍生碳材料容量的水平。循环200周后,仍有93.1%的容量保持率,展现了优异的循环稳定性。该材料为实现低成本和高性能钠离子电池碳负极材料提供了希望。

图2原始沥青碳-1400℃与预氧化沥青碳-1400℃的TEM和Raman图。
材料的形貌及微结构如图2所示。原始沥青碳的碳层排列相对有序并具有明显的石墨化现象。相反的,预氧化沥青碳结构中碳层出现了明显的弯曲与折叠,整个结构呈现出极度的无序状态。Raman光谱中ID与IG峰相对强度的明显反转进一步证实了结构从有序向无序的转变。

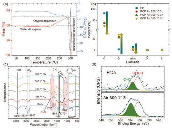
图3(a)原始沥青在O2与Ar混合气氛中从室温到300℃的TGA曲线;(b-c)原始沥青与不同处理条件下所得预氧化沥青的元素分析与红外图谱;(d)原始沥青与预氧化沥青-300℃-3hO1s的XPS图谱。
接着,作者就预氧化处理如何改变沥青基碳的微结构这一问题作进一步的研究,结果如图3所示。将原始沥青在模拟空气状态下加热发现:在室温至200℃下质量略微衰减,这是由于水或亚甲基氢在此范围的损失;在200℃-290℃下,质量增加约6%左右,此范围氧的捕集是质量增加的主要原因;随后,可以观察到质量急剧下降,并观察到差示扫描量热(DSC)曲线在300℃有一明显的吸热峰,表明沥青在此温度下发生熔化分解。元素分析结果进一步证实了预氧化过程中氧含量的增加(碳含量相应下降)。那么,捕获的O究竟以何种状态存在于预氧化沥青中呢?FTIR实验结果表明与原始沥青相比,预氧化沥青在约1700cm-1出现了明显的透射峰,对应于C=O,说明引入的氧主要以羰基(如酯和酐)的形式存在。对O1s的XPS峰进行分峰拟合,也进一步证实了预氧化沥青中羰基氧含量的增加。

图4预氧化策略调控沥青基碳结构的示意图。
随后,作者对原始沥青和预氧化沥青的结构也进行了系统表征分析,并结合两者在相同高温(1400℃)碳化后结构由有序向无序转变,预氧化沥青碳氧含量迅速下降等实验结果提出了预氧化策略调控沥青基碳结构的示意图,如图4所示。预氧化过程中产生的羰基官能团与沥青分子发生相互交联,阻止高温碳化过程中沥青的熔化与有序重排,产生了大量的无序结构,高温过程释放的含氧气体小分子又进一步影响微结构的演化。反之,原始沥青在高温下熔化并发生重排反应,极易发生石墨化而形成有序结构,不利于钠的存储。
最后,作者讨论了预氧化温度、时间和高温碳化温度对储钠性能的影响,并指出该预氧化沥青碳是研究储钠机理的理想模型。相信随着更加细致的优化过程,可进一步提高沥青基碳负极的储钠性能。不仅如此,可以将该简单有效的预氧化策略推广到其他碳源前驱体,为设计、制备出性能更加优异的钠离子电池碳负极材料提供了新思路。
上一篇:怎样使动力电池更为安全










